А.В. Каминский, Вариации на тему Эверетта (диалог)
Квантовая Магия, том 4, вып. 2, стр. 2101-2120, 2007

50-летию теории многомирия посвящается

 

Вариации на тему Эверетта

(диалог)

 

А.В. Каминский

 

(Получена 7 февраля 2007; опубликована 15 апреля 2007)

 

Я вызову любое из столетий,

Войду в него и дом построю в нем…

Арсений Тарковский

 

 

Введение

 

Я хочу рассказать Вам, уважаемый читатель, об одной из самых знаменитых теорий 20-го века - многомировой интерпретации КМ, известной нам именами Эверетта, Уиллера, ДеВитта и Грэхема, опубликованной в Reviews of Modern Physics в 1957 году [1]. В том далеком 57-ом прошлого века,  когда по воле Господа мое собственное сознание  обрело существование. Впоследствии я стал изучать физику, и с тех пор мое сознание петляет коридорами путей [2] в лабиринте квантовой реальности, прокладывая себе путь в понимании мира. И я благодарен судьбе, что мне посчастливилось жить в этот захватывающий и драматический для науки период, когда человек, покинув свою колыбель, вышел в космос, когда были открыты новые  источники энергии и совершен качественный прорыв в информационных технологиях, круто изменивших весь уклад нашей жизни. Все это хорошо известно, ибо в той или иной степени коснулось каждого. Но не все знают о том, какая борьба за понимание мира разворачивалась в начале прошлого века в интеллектуальной сфере. Не все знают, сколько судеб осталось под завалами рушившихся устоев математики в период разразившегося в начале века кризиса [3], как наскоро возводились леса, чтобы не дать рухнуть всему зданию математики. И тем более не все знают то, что похожая "хворь" затронула и физику и что первые симптомы болезни проявились одновременно с зарождением новой квантово-релятивистской парадигмы. Кризис оснований физики столь же серьезен, но пока еще не обозначен так четко, как это некогда сделал Гильберт в случае с математикой. Я уверен в том, что это одна и та же "болезнь". Суть ее состоит в нашей "привычке" смотреть на мир как бы со стороны. Но нам не дано объективно судить о мире, ведь мы по сути его субъекты. Я думаю, что преодоление этого онтологического "высокомерия" приведет не просто к новым неожиданным открытиям, но и к переосмыслению роли и статуса точных наук в познавательном процессе. Первые шаги в этом направлении уже сделаны теорией относительности и особенно квантовой теорией. Тема настоящей статьи имеет непосредственное отношение к этому вопросу.

 

Полагаю, что форма и, может быть, даже некоторая возвышенность стиля, выбранного мною в написании этой статьи, будет оправдана значимостью даты и необычностью  самого предмета рассмотрения. Ведь ровно полвека прошло с тех пор, как была опубликована самая спорная и самая фантастическая теория за всю историю науки.

Будучи интерпретационной, теория Эверетта затрагивает фундаментальные мировоззренческие проблемы гораздо в большей мере, чем чисто научные и прикладные. Так сложилось, что, давно уже проникнув в литературу и кино, тема многомирия до сих пор не обсуждалась серьезно. А ведь отношение к этому вопросу затрагивает самые глубокие (философские) основы нашей жизни. Проникнув в гуманитарную сферу, этот взгляд может привести  и к переосмыслению  религиозной веры в инобытие, что таит в себе  великие опасности, ибо отношение к этому вопросу в значительной степени определяет нашу нравственную систему координат.

 

Итак, в связи с этим своеобразным юбилеем я расскажу вам о самой теории Эверетта, о ее научных, философских и религиозных следствиях. А также поделюсь с вами своей идеей, несомненно связанной с идеями ветвящихся Вселенных Эверетта, но предлагающей новый  взгляд на всю концепцию. Как видите, я поставил перед собой непростую задачу и, опасаясь, что мне трудно будет справиться с ней одному, я решил пригласить помощника, который выступил бы собеседником и оппонентом в нашем предстоящем обсуждении. Но кто же, как не сам "маэстро" Эверетт лучше других подошел бы для этой роли. Поэтому, с вашего позволения, я и решил почтеннейше попросить возвышенный дух (!) Хью Эверетта III, родившегося 11 ноября 1930 года от Рождества Христова в Вашингтоне, помочь мне в этом предприятии.

 

Знакомство*

 

 C удовольствием представляю Вам, уважаемый Читатель Интернета,

господина Хью Эверетта III или III - штрих, ведь по понятным причинам нам пришлось пригласить его из другой параллельной вселенной...

Итак, господин Эверетт -  физик от природы, выдумщик и затейник.

 

- Господин Хью, как Вам пришла в голову эта потрясающая идея?

- Идея родилась в далеком 1954 на пирушке, которую я затеял со своим соседом по пансиону Чарли Мизнером и приехавшим погостить из Копенгагена ассистентом Бора Аагом Петерсоном. ....

- Постойте, тем самым Мизнером, который, следуя идеям геометризации Клиффорда, в 1957г совместно с Уиллером написал ту самую знаменитую статью "Классическая физика как геометрия" [4]?

- Ну да, конечно. Ох, и довели они меня в тот вечер своими задачками. Представьте веселую картину – 3 молодых человека, после весьма продуктивной экскурсии по моему винному погребу, интенсивно жестикулируя и выкрикивая какие-то неведомые ругательства, решают мировые проблемы науки. Задачки... Они ведь знали, что ответов на них нет...  Ну, а я думал, что есть. Так все и вышло.

- А что же Бор? Он думал над этими вашими задачками?

- Несомненно. Но он искренне верил в первичность законов КМ, в то, что природа так устроена и не следует этому искать никаких дополнительных объяснений. Меня же всегда раздражал постулат фон-Неймана. Я был уверен, что можно найти общий принцип, алгоритм и не множить сущности без необходимости. Мне очень хотелось "поработать" бритвой Окамма! Вообще, старик Бор иногда говорил странные вещи. Помню, Петерсон как-то цитировал своего великого учителя: "Если квантовая механика вас не потрясла до глубины души, значит, вы ее еще не поняли." Ну, а если потрясла? Разве от этого легче? Впрочем, все это чепуха – никто ее не понимает... кроме меня! Ха!

- Господин Эверетт, а это правда, что Джон Уиллер – Ваш учитель и единомышленник, боялся показать Бору Вашу с ним рукопись?

- Да, он человек осторожный и боялся, что экстравагантность теории может подпортить ему репутацию серьезного ученого.

- А Вы?

- А я несерьезный ученый!...

- Не скромничайте, господин Эверетт! Лучше расскажите, почему Ваша статья не произвела достойного впечатления на ученый мир? Она была не понята или ученому миру просто нечего было сказать по этому поводу?...

- Не знаю – спросите у ученого мира... Впрочем, через 17 лет (время индукции мысли?), когда идея была вновь переоткрыта Де Виттом по согласованию со мной был опубликован сборник статей, ну помните, такой, в мягкой обложке... Тираж внезапно разошелся. Удивительно!

-Да, да. Сейчас это хорошо известно. А еще через три года можно было отметить появление темы параллельных миров в научной фантастике. Вы обратили внимание?  Интерес к теме стал нарастать снежным комом. Индекс цитирования Ваших пионерских работ за 1957-й год возрос до небывалых величин. И еще я знаю, что к Вам стали присылать свои статьи на отзыв.

- Да, но тогда я с физикой уже завязал. В мире есть что поинтереснее! Как-нибудь заходите в мой погребок – обсудим!

 

Да, нам о Вас, Эверетт, многое известно. Вы чрезвычайно увлекающийся человек. Вы чем-то мне напоминаете другого легендарного физика – виртуоза и чародея эксперимента Роберта Вуда,  он тоже не мог себе позволить всю жизнь заниматься КМ.

- Ну да, ведь он родился, когда ее еще не было!

- А Вам в чувстве юмора не откажешь!

Господин Эверетт, когда Вы успевали всем этим заниматься : от создания эффективных алгоритмов, которыми пользуются до сих пор, до домашнего виноделия, от теории игр до бизнеса, а между делом быть еще вице-президентом Эмерикен Менеджмент Системс?! Вы умудрились даже заниматься разработкой тактики ведения ядерной войны...

- К военным я ушел вынужденно, когда потерял поддержку Паули. Жаль, что все так вышло.

-И все же, как могло все это совмещаться в одном человеке? Как можно все это успеть? Ведь жизнь так коротка!

- Скажу Вам по секрету... Все очень просто. Мне помогали мои двойники из параллельных миров!  Между прочим, один из них переусердствовал и подорвал здоровье!

- Я вынужден Вам поверить! Ведь другое объяснение найти трудно...

- В мае 1977г. Вы приняли приглашение на семинар по квантовой механике в Университете Остина, Техас, где Вы впервые познакомились с ДеВиттом. Расскажите, как это было. Говорят, что, предавшись упоению славой, вы приехали туда с семьей на "Кадиллаке" с клаксонами и получили неслыханную в Остине привилегию курить в аудитории сигары, с которыми никогда не расстаетесь?

- Да, нет. Это все выдумки. Жизнь куда прозаичнее, чем хотелось бы. Впрочем, поездка выдалась на славу! ДеВитт оказался очаровательным во всех отношениях джентльменом и неплохим физиком. Тогда розовый туман юности опьянил меня и вновь повлек в науку. Но я уже не мог себе позволить поддаться этому влечению...

- Господин Эверетт, до сих пор тема параллельных миров не исчерпала себя. Эксперименты с переходами в другие параллельные реальности продолжаются в литературе, а в последнее время эту идею бурно осваивает кинематограф. В этой связи хочу спросить Вас, смотрели ли Вы замечательный фильм Рона Ховарда "Игры разума" или фильм Эрика Бресса "Эффект бабочки"? Да, конечно! Ведь я умер пока еще не во всех мирах. Еще осталась парочка, другая...Ха!

 - Неужели Вы думаете, что Ваши двойники могут исчезнуть из всего мультиверса**? Мне что-то не нравится Ваш настрой. Вы всегда отличались светлым юмором. Согласитесь, что на этот вопрос у Вас нет готового ответа?

 

Лекарство Эверетта

 

Теория Хью Эверетта III – высочайший пример непрагматичного отношения к науке. Ведь создана она была уже в то время, когда споры по концептуальным вопросам КМ поутихли, и когда КМ по сути уже превратилась в инженерную науку. Сегодня, на фоне общей утраты духовности, мало кого интересуют подобные вопросы – чистая наука не в почете. Не желает современный студент свои молодые годы тратить на изучение наук, - ему ведь тоже нужно многое успеть! А успевать сегодня становится все труднее и труднее. Потому и профессию теперь выбирают не по зову внутреннего голоса, а по престижности и заработку. Потому и не приводят своих докторантов к присяге нынешние деканы физико-математических факультетов, спрашивая, как это было в старых университетах: «...обещаете ли Вы, давая эту присягу, что будете мужественно защищать истинную науку, будете её развивать и украшать не ради выгоды или мишурного блеска славы, а для того, чтобы свет божьей правды ярко светил и распространялся?». Человеку стала чужда романтика познания. Он утратил интерес к промыслу Бога и больше не желает служить проводником Его идей.

 

- Господин Эверетт может ли быть счастлив такой человек в жизни?

- Поп-культура посредственности вершит балом сегодня и ведет мир к катастрофе. Ведь уже сегодня инженерная наука держится исключительно на том большом, но, увы, не безграничном запасе философской и теоретической мысли, полученном в битве за понимание природы прошлыми поколениями. Человек в некоторых вселенных превращается в обезьяну, возвращаясь к своим истокам. Я это знаю точно! Может ли быть счастлива обезьяна? Решайте сами.

- г. Эверетт, вы наверное начитались фантастики!

- Я просто отдаю себе отчет в опасности происходящего...

-г Эверетт, но ведь наука и технология развиваются стремительными темпами. Смотрите - всего лишь какие-то 30 лет, как Вы покинули наш мировой лист, а за это время как изменился мир! Системы телекоммуникаций достигли поистине фантастических вершин – у каждого теперь в кармане лежит мобильник, и мы часами проводим время в виртуальном информационном пространстве, порой объединяясь в группы по интересам с учеными на других континентах и устраивая невиданный по масштабам мозговой штурм!

-Этот прогресс, которым все так загипнотизированы сегодня, не идет ни в какое сравнение с негативными процессами в науке. Так что на современную науку я смотрю без оптимизма...

Но почему же, господин Эверетт? Ведь налицо серьезный прогресс и в фундаментальных науках. Сегодня теоретическая наука зашла так далеко, что только узкий круг специалистов способен понять друг друга...

- Это же беда! Когда мы строим здание в 2-3 этажа, то конструкция фундамента не столь уж важна, и мы вправе забыть о нем. Но, когда этажей становится 30, 50, ... Оказывается, что малейшая ошибка в выборе фундамента превращает недавнее великолепие в руины. Теоретики часто грешат тем, что строят многоэтажные песочные замки, забывая о фундаменте. Многие из теоретиков, которых я знаю, и вовсе не понимают физику. А что такое фундамент? Это прежде всего понимание. Именно понимание позволяет правильно выбрать блоки аксиом и построить из них надежный фундамент. А теперь подумайте – много ли тех, кто как следует сегодня понимает теорию относительности или квантовую механику? А ведь это фундамент! Я не говорю об умении пользоваться аппаратом – таких много. Я говорю о желающих понять. Но сегодня их катастрофически мало!

- Так что же, наука, по вашему мнению, умерла?

- Пока это клиническая смерть и нужны неотложные меры, чтобы реанимировать ее. Молодежь сегодня не рвется в науку. Да и государство, завидев тупик, не желает себе в убыток финансировать игры переросших детей в карточные домики. А без этого нельзя. С одной стороны, да, занятие наукой отражает глубинное стремление духа к самопознанию, оно возникает спонтанно и независимо от нашего достатка или положения в обществе. Государство этим пользуется! С другой стороны, наука не станет служить нам, если мы не будем служить ей - мы имеем  замкнутый круг.

- Увы, нет сегодня понимания этого простого факта,- даже среди ученых.

- Постойте, г Эверетт, но у меня тоже нет понимания. Я всегда считал, что ученые, политики или воры всегда рождаются примерно в одной пропорции независимо от нашего желания.

- Сегодня эта пропорция нарушилась. И это, по-видимому, свидетельствует о каких-то более серьезных причинах, чем, скажем, отсутствие финансирования. Мы не знаем, в чем причина наметившейся тенденции к упрощению и огрублению духовной и общественной жизни западного мира.

-Факт глобальной дегуманизации нашего общества (еще одна глобализация!) чрезвычайно тревожен. Ведь он наводит на мысль о каком-то дисбалансе в самой структуре нашего общества... или даже мироздания!?

- Вы думаете, что программа нашей Вселенной подходит к операторам STOP и END?

- Нет, я оптимист. Скорее, мы подходим к оператору безусловного перехода GO TO. Нас уже никто не спрашивает, хотим ли мы этого... Я думаю, наметившееся сегодня истощение духовной почвы, на которой только и может процветать наука и искусство, серьезный знак, за которым последуют столь же серьезные перемены - полная перестройка научной методологии, которая повлечет за собой переосмысление нашего назначения, нашей миссии в этом мире, переосмысление отношения к себе и к миру. Я уверен, что те печальные процессы в обществе, свидетелями которых мы стали сегодня, и тот плохо осознаваемый тупик, в который попала наша наука, не имеют социальной обусловленности. Вектор этих процессов имел одинаковое направление, как на Западе, так и в бывшем СССР. Похоже, что видимое истощение духовной почвы закономерно и вызвано самой структурой нашей техногенной цивилизации с ее научным методом и парадигмой, основанными на устаревшей картезианской структуре познания. И это очень серьезные вещи, ведь они формируют саму модель нашей цивилизации. Похоже, что эта модель исчерпала себя и должна быть заменена на новую.

Господин Эверетт, как Вы думаете – что за "лекарство" даст нам шанс возрождения?

- Мы должны понять, что все зависит от нас! Мы должны понять, что это не метафора, а закон физики! Старая наука не может связать наш нравственный выбор с космосом, нашу душу с движением планет. А ведь связь есть! Наша душа и косный мир образуют соотнесенные состояния (relative states) [1]. То есть они не существуют сами по себе! Вы теперь называете такие состояния  запутанными. А вот и рецепт, «выписанный» вашим замечательным поэтом Федором Сологубом в далеком серебряном веке русской поэзии… и мировой (!) науки.

 

... Лишь только сердце бьется верно,

А все земные бури - дым,

Все будет так, как мы хотим,

Лишь стоит захотеть безмерно.

 

- Но мы ведь не дети и не поэты, которые живут в мире иллюзий. Неужели вы и вправду считаете, что достаточно просто верить? - Нет, мы уже давно не верим в чудеса!

- Да, в чудеса верят только дети, а мир, увы, давно не молод,- в этом беда. А помните, что говорил Кант? "Феноменальный мир является продуктом синтетической деятельности нашего рассудка". И, между прочим, сегодня это звучит уже не столь фантастично! Мы еще не все понимаем до конца, но мы подошли очень близко к гениальному прозрению Канта. Так что, если наш мир непригляден и сер, то не нужно искать виноватых вовне, а нужно оборотиться на  себя самого и спросить – неужели я хочу жить в таком мире?

Смотрите - все религии мира учат нас делать добро бескорыстно, быть альтруистами. В них говорится - делай добро, и оно непременно к тебе вернется,- вернется быстрее, чем ты ожидаешь, ибо здесь работает не обычная причинная (ветхозаветная) связь, а совсем другая – нелокальная - новозаветная. Сделай добро и сам вектор добра, который и есть мир, в котором ты живешь, немедленно повернется к тебе лицом, и все планеты и звезды будут служить тебе, ибо существуют ради тебя.

Есть и другой рецепт на то же самое “лекарство”, выписанный доктором Вигнером. В нем прямо сказано, что сознание может влиять на реальность.

- Вы говорите о том самом сумасшедшем шарлатане с третьей авеню, которому инопланетяне привозят капли бессмертия с альфа центавры?

- Да, нет же – читайте внимательно: Эуген Пол Вигнер – профессор физики Принстонского университета, лауреат Нобелевской премии.

- Неужели это тот самый Вигнер?

- Да, вы правы, рецепт подписан его именем в статье [5]...

- Впрочем, мне все это известно, господин Эверетт! Я иногда вам подыгрываю в беседе, вы это поняли. Мне, например, известно, что по этому поводу говорит профессор Московского университета М.Б. Менский. Он вообще считает, что скоро возникнет некий симбиоз физики с психологией, что приведет к "гуманизации" физики. Парадоксально, что это происходит на фоне общей дегуманизации общества! Не означает ли это, что, препарируя сознание, мы убьем его? Не прикалываем ли мы булавкой еще бьющийся мотылек жизни? Может быть, этот процесс вовсе не гуманизация физики, а наоборот, дегуманизация всего того, что еще осталось гуманного?

- Я думаю, что здесь нет опасности. И вот почему. Дело в том, что, как я уже говорил, физика, обращаясь к психологии, неизбежно лишается своего орудия "убийства" – научного метода! Так что, если человеческое сознание, чувства и эмоции, то есть все то, что мы относим к гуманитарной сфере, станет предметом исследования физики, то эту новую науку вряд ли мы по-прежнему будем называть физикой.

- Боюсь, что ее вряд ли можно будет вообще называть наукой!

- Да, пожалуй, вы правы. Это уже не будет наука в обычном смысле этого слова.

- Будет ли она искусством? Наверное, не в большей и не в меньшей мере, чем сегодня!

 

Если мы Вас, уважаемый читатель, заинтриговали, то значит не все пропало! Мир еще можно спасти! Следуйте за нами!  Г. Эверетт обещал нам небольшую экскурсию через черный ход на самый передний фронт науки к влекущему свету новой цивилизации третьего тысячелетия.

 

Про черных котов, бегающих  темными коридорами путей

 

-Господин Эверетт, вы верите в приметы? 

- Когда мне дорогу перебегает черный кот, то я, на всякий случай, сворачиваю на другую дорогу. Но чаще коты, завидев меня, ретируются, поджав хвост. У них, наверное, свои предрассудки!

-Я думаю, что дело в другом. Похоже, что они думают, что вы якшаетесь с "живодером" – Шредингером! Именно об этом я и хотел поговорить с вами – о проблеме измерения. Расскажите, пожалуйста, нашим читателям об этой интригующей проблеме.

-Лучше всего проблемы формулировать в форме парадокса. В парадоксе всегда видны самые острые углы проблемы. Парадокс - это вызывающая формулировка задачи. Задача, сформулированная подобным образом, задевает наше когнитивное честолюбие и потому провоцирует ею активно заниматься. Наилучшим образом  проблема измерения представлена в так называемом парадоксе друга Вигнера, который можно продемонстрировать в следующем мысленном эксперименте.

- Постойте, постойте! Я прошу у вас прощения. Но я боюсь, что прежде мне придется вкратце рассказать читателю о парадоксе кота Шредингера, а потом вы продолжите.

 

Шредингер предложил следующий мысленный эксперимент [6]. В ящик помещается живой кот и радиоактивный атом, который, в случае распада, запускает некий механизм, убивающий кота. Пока ящик закрыт (а это предполагает в идеальном случае полную изолированность от экспериментатора), мы можем лишь догадываться, что в нем, и если мы верим квантовой механике, то приходим к выводу, что там суперпозиция живого и мертвого кота; однако, открыв ящик, мы обнаружим либо живого, либо мертвого кота — ничего другого быть не может.  

Но в чем же парадокс? - скажете вы, - ведь никто не видел и квантовомеханическую суперпозицию! Электрон тоже мы всегда обнаруживаем либо со спином («лапками») вверх, либо вниз…

Здесь есть некое искажение смысла. Дело в том, что суперпозицию наблюдать нельзя. Если мы наблюдаем, то это уже не суперпозиция по определению. То есть "суперкот" существует до тех пор, пока мы на него не посмотрим.

Поэтому для того, чтобы ситуация выглядела парадоксально, нужно говорить о каких- либо наблюдаемых проявлениях макроскопических суперпозиционных состояний. Например, можно утверждать, что никто никогда не наблюдал, как интерферируют коты или крикетные шары.

Ответ содержится в теории декогеренции, которую мы обсудим ниже. Следствием декогеренции является то, что предсказания квантовой теории для макроскопических состояний невозможно отличить от предсказаний макрореалистической теории, если только не контролируются все степени свободы.

 

- Теперь, когда я уверен, что вы все знаете о "проделках" Шредингера, мы можем продолжить. Рассмотрим изолированную систему, в которой друг Вигнера (экспериментатор) проводит измерения. Для определенности будем считать, что он как раз проводит тот самый эксперимент с котом, описанный выше. По окончании работы он может сообщить Вигнеру о результатах.  Аппарат КМ, как вы знаете, описывает динамику системы и позволяет вычислять вероятности измерений. Уравнение  Шредингера описывает унитарную эволюцию вектора состояния в Гильбертовом пространстве. В результате измерения происходит некий нелинейный процесс, нарушающий унитарность. В результате остается только одна компонента исходной суперпозиции альтернатив. Этот факт закреплен постулатом редукции фон-Неймана, искусственно введенным в теорию. Какая физика стоит за выбором альтернатив при измерении, до сих пор остается загадкой. Аппарат квантовой механики не описывает процесс редукции, и его искусственное введение в теорию нарушает ее красоту и вносит элемент эклектики. Итак, вернемся к другу Вигнера, мучающему по "указке" Шредингера котов в "застенках"  своей лаборатории. Предположим, что он провел измерение и получил конкретный результат (кот жив или кот мертв). То есть коллапс (редукция) квантового состояния состоялся. Он несомненно считает, что имел место тот самый таинственный процесс редукции, в результате которого и получен конкретный результат - например, кот жив! В противном случае состояние суперпозиции так и осталось бы суперпозицией (кот жив + кот мертв). Предположим так же, что он еще не успел сообщить Вигнеру эту приятную (для кота!) новость. То есть изолированность системы еще не нарушена. Как же вся эта ситуация представляется Вигнеру?  Очевидно, он грамотный физик и знает, что изолированная система между измерениями описывается линейным уравнением Шредингера. Но так как он сам никаких измерений не проводит, то лаборатория его друга – экспериментатора с ним самим (другом Вигнера) и со всем лабораторным оборудованием должна описываться этим уравнением. То есть с точки зрения Вигнера, наблюдающего со стороны, никакой редукции не происходило. Из этой парадоксальной ситуации Вигнер делает вывод, что процесс редукции каким-то образом связан с сознанием наблюдателя и, возможно даже, что только с его собственным!

 

С тех пор, как Вигнер сформулировал свой парадокс, прошло немало времени, но почти ничего не изменилось в понимании этой ситуации. Квантовая теория достигла выдающихся успехов и стала основой современных технологий. Появились очень заманчивые перспективы использования квантовых ресурсов природы в области информационных технологий. Для того чтобы все эти достижения стали реальностью, требовалось весьма глубокое понимание квантовой физики. Это стимулировало новый интерес к основам теории. В результате развития идей Эверетта о соответственных состояних, была создана теория декогеренции [7], формализовавшая, но так и не решившая концептуальные проблемы.

 

- г. Эверетт, с вашего позволения, я расскажу нашим читателям в двух словах об этой теории. И после этого мы с вами обсудим те самые нерешенные проблемы.

Однако, чтобы мой рассказ уместился в двух словах, придется максимально упростить задачу.

 

Я царь - я раб - я червь - я бог!

 

- г. Эверетт, представьте себя электроном.

- Позвольте, но не слишком уж вы упрощаете!? Мне очень трудно представить себя электроном!

- Тогда нам придется еще немного порассуждать. Что есть вы? Ваше тело состоит из множества систем, в основе которых лежат элементарные частицы и поля. Это некий сложный объект, развившийся в результате биологической эволюции. Теперь начнем отрезать от вас по кусочку. Не бойтесь, больно не будет! Ведь мы проводим мысленный эксперимент. Как вы думаете, в какой момент пропадет ваше <Я>?

- Наверное, тогда, когда вы доберетесь до моего мозга?

- Вы правы, но и в мозгу слишком много "лишнего", простите! В медицинской практике известны случаи, когда по той или иной причине поражались огромные участки мозга без видимого вреда для пациента. Однажды к врачу пришел пациент, жалуясь на головную боль. Так вот, на рентгеновском снимке его черепа были видны несколько десятков гвоздей, которые он собственноручно вбил себе в голову, безуспешно пытаясь покончить с собой...

- Тем не менее, я думаю, что, применив более систематический подход, - отрезание по кусочку, вы добьетесь того, что сознание начнет постепенно угасать...

-  Вы правы, но только в том случае, если понимать сознание как способность отражать реальность. В самом деле, чем меньше вычислительные ресурсы (память) нашего мозга, тем примитивнее и грубее должна быть картина мира, воспринимаемая нами. Это то же самое, что число пикселей в сенсоре вашей фотокамеры. Чем их больше, тем фотография привлекательнее, ибо она передает больше деталей. Но я говорю о другом. А именно, о том чистом имманентном сознании, которое не имеет градаций. Оно либо есть, либо его нет. Сознание не есть название для "психофизических комплексов", для "сплавов содержаний" и.т.д,  - пишет Гуссерль[8]. Но проблема в том, что, даже если мы поставим реальный эксперимент с постепенным уменьшением числа нейронов или "пикселей" в мозгу, то наши результаты будут бессодержательны с точки зрения научного метода, ввиду их субъективности. Имманентное сознание, несмотря на свою очевидность для каждого из нас, не может быть объектом научного исследования в рамках традиционного научного метода. Не кажется ли вам, г.Эверетт, что чрезмерно жесткое требование к объективности научного метода сегодня уже не оправдано.

- Вы правы. В математике давно уже поменялось отношение к строгости. Статус дедуктивного метода изменился. "Доказать" сегодня синонимично "убедить". И причина этого, как известно, заключается в укорененности основ математики в нашей субъективности. Очевидно, что уже сегодня традиционный подход к объективности физического эксперимента может тормозить развитие ряда областей физики. Это очень важный момент, и мы к нему еще вернемся. Но мы несколько уклонились от темы.

- Я бы не сказал. Ведь мы говорим о сознании, как физическом феномене... Итак, полагаю, что мысль о том, что сознание не определяется памятью или логическими способностями индивида, составляющими интеллект (сплав содержаний), ясна. Менский предложил тезис, согласно которому сознание есть не что иное, как выбор альтернатив. То есть способность, называемая нами – сознанием,- это то же самое явление, которое в квантовой теории измерений называется редукцией состояния или селекцией альтернативы. Тезис этот прекрасно вписывается не только в современную научную картину мира, но и придает новое звучание философским откровениям прошлого. Итак, можете ли вы теперь представить себя электроном, хотя бы умозрительно?

- В теоретическом плане я могу себя представить даже папой римским, не то, что электроном!

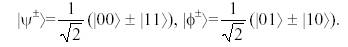
- Давайте не будем усложнять. Я просил вас представить себя электроном. Итак, вы электрон, а электрон, как известно, может иметь лишь два значения проекции спина S на выделенное направление. Таким образом, состояние вашего одноэлектронного сознания <Я1> описывается состояниями |0> и |1> и их суперпозицией. В терминах матриц плотности: |0><0| и |1><1|, соответственно. Но, чтобы вам не было так одиноко, дадим вам в компанию еще один электрон |Я2>=|не Я1>, который будет играть роль всего остального мира. Состояние этого двухэлектронного мирка можно описать вектором в Белловском базисе:

 

 

Мы будем исходить из изначально максимально запутанного состояния Ψ+ [9].

В терминах матриц плотности состояние системы: . Это описание содержит полную информацию о рассматриваемом двухэлектронном мире. Но эта информация, очевидно, не доступна вам, как части этой системы. Ибо часть системы <Я1> не может иметь информацию о всей системе <Я1+неЯ1>, частью которой сама и является. Для вычисления матрицы плотности <Я1>, в составе системы мы должны свернуть матрицу плотности  по степеням свободы <не Я1>. Эта процедура является формальным выражением перехода к субъективному наблюдателю и неизбежно приводит к потере части информации о системе. Однако, четкого обоснования этой операции в случае замкнутой системы у нас пока что нет. Легко показать, что, с точностью до коэффициентов, мы получим: . Такое состояние называется смешанным или неполным. В нем потеряна информация о фазовых соотношениях между чистыми состояниями, которая содержится в выпавших недиагональных компонентах матрицы плотности. В моей модели состояние вашего одноэлектронного мозга  отражает состояние объекта (второго электрона). Можно сказать, что  вы "видите или осознаете" другой электрон в одном из классических состояний |0> или |1> с вероятностью, определяемой статистическим оператором ρ.

- Постойте, но ведь все это, действительно, справедливо только для открытых систем.

- Вы правы, г Эверетт. Обычно в теории декогеренции рассматривают открытые системы с реальной "утечкой" информации, и в этом случае операция свертывания (взятия частичного следа) оправдана. В нашем же случае нет ни какой потери информации, так как мы рассматриваем мир, как замкнутую систему в чистом состоянии. Казалось бы, нам никогда не избавиться от интерференционных членов матрицы плотности. Однако, я намерен показать, что в случае замкнутой системы, для ее субъекта неизбежно возникают неконтролируемые степени свободы, куда и может "утекать" информация. Ниже  я покажу, что причиной этого является неизбежная неполнота физической реальности.

 Плотин говорил: "Подлинный ум мыслит то, что от него же исходит, и обладает тем, что ему принадлежит". Мы видим, как эта мысль Плотина реализуется буквально в модели декогеренции соответственных состояний. Объект (второй электрон) действительно посредством квантовых корреляций связан с  субъектом (первым электроном) так, что образует с ним единое, или, как говорят философы, - эмерджентное целое – ум, мыслящий самого себя.

- В таком случае, мы должны признать, что субъектом мышления является сама система?

- Именно это я и хотел сказать, г Эверетт. Об этом нам говорит математика! Субъект (условно первый электрон) вовсе не является носителем или источником сознания. Он является только носителем неких свойств, как то - спин, импульс и.т.д. Он обладает также памятью в один бит классической информации. Все эти свойства составляют его "личность". Мы обозначили ее, как <Я1>. Но все это не имеет отношения к сознанию! Процесс рефлексии заключается в осознавании своей отдельности от <не Я1>. Ясно, что для этого, как пишет Е.М.Иванов [10], необходимо "переместиться" в такую "онтологическую точку" в которой отсутствует различие <Я1> и <не Я1> - и именно поэтому из этой "точки" возможно одновременно "созерцать" <Я1> и <не Я1> в их непосредственном отношении друг к другу (бимодальность). Ясно, что этой "онтологической точкой" в нашей модели является чистое запутанное состояние, то есть – сама система. Формально мы можем записать:

 

 

Где |ξ1> и |ξ2 > альтернативы, возникающие после суперотбора, например, |0> и |1> .   Именно саму систему <Я> (без индекса) мы должны отождествить с субъектом  чистого имманентного (безличного) сознания, о котором говорит Гуссерль. Очевидно, что та часть системы, которую мы связываем с вами - электроном, то есть <Я1>, в состоянии суперпозиции теряет свои индивидуальные свойства личности (импульс, спин и.т.д). Да и сам электрон при этом не существует в виде локального объекта. И только трансцендентный акт редукции или декогеренция приводит к эманации личности <Я1> из безличного <Я>. Это мы и называем актом сознания или рефлексией.

 

- В этом вашем |Я> недвусмысленно просматривается идея Бога. Действительно, Бог трансцендентен, Бог един, Бог находится вне времени и пространства. Бог всемогущ, ибо обладает, трансфинитным, с точки зрения субъекта, объемом знаний в 2 q-бита. Все это справедливо по отношению к вектору  |Я>. Более того, ваш Бог – личность.

- Да, г Эверетт, я не сторонник бездушного пантеизма. Бог - нечто большее, чем просто гармония природы, как у Эйнштейна. Хотя глубина проникновения Эйнштейна в природу столь велика, что сравнима лишь с глубиной проникновения в душу другого человека. Так что, я думаю, что понимание Бога Эйнштейном не столь однозначно...

- Мне нравится то, что вы строите физическую модель субъективности. И, тем не менее, можете ли вы объяснить, как все же сознание осуществляет выбор. Каким образом я,- как пишет Г.Вейль [11],- оказываюсь тем самым "реальным человеком, рожденным матерью и обреченным на смерть, совершающим реальные физические и психофизические акты, одним из многих (слишком многих, как кажется, когда случается ехать в переполненном вагоне подземки в часы пик)"? Но, если я и мой мир, в котором я себя осознаю, всего лишь одна из многих компонент суперпозиции, то почему реализовалась именно она?

 

- Моя теория, увы, унаследовала  недостаток, которым страдает и ваша теория, г Эверетт... Однако, вопрос Вейля в ней стоит уже не столь остро. Насколько мне известно, вы утверждаете, что  вы есть (существуете) в каждой компоненте многомировой суперпозиции, то есть само сознание <Я> расслаивается на множество альтернативных  i>. То же самое понимание я встречал у Д.Дойча. Эту концепцию множественности сознаний (many-minds interpretation) в контексте традиционного понимания субъективности я не разделяю. "Есть только одно сознание, как и одна смерть",- пишет М.Мамардашвили в своем замечательном эссе "Проблема сознания и философское призвание". Там же он пишет: "Сознание – это всегда взаимоотношение с иным, к которому мы не можем непрерывным образом перейти продолжением своих собственных сил". Это интуитивное понимание полностью совпадает с моей моделью надиндивидуального |Я>. Представление же о многих разумах проблемы выбора не снимает. Вы вынесли проблему за пределы физики, но она от этого не исчезла. Да, формальная сторона вашей теории верна, но избавить КМ от инородного элемента - редукции вам не удалось.

- Я вынужден согласиться с Вами. Я сам чувствую щели в своих построениях. И из этих щелей сквозит холодом непонимания. Энтузиазм Д.Дойча, когда он говорит о реальности многомирия [12], я не разделяю.

 - Спасибо вам г. Эверетт! Я рад, что мы с вами сошлись в понимании этого непонимания! Нужно иметь большую научную смелость, чтобы после стольких усилий и бессонных ночей признаться в своих сомнениях.

 

Субъективная физика

 

Не секрет, что теория КМ  была просто угадана и по сути - это феноменология. Так сложилось исторически. Теория запаздывала, и нужно было срочно научиться рассчитывать вероятности. Решив эту практически важную задачу (угадав решение), концептуальные проблемы обоснования были и вовсе позабыты. На протяжении последующих 100 лет спорадически возникал интерес к ним, но быстро угасал, не приводя к конкретным результатам. В 1957 году, когда Эверетт занимался физикой, все уже мыслили категориями квантовой механики, принятыми ad hoc. И авторитет Бора, с его позитивистской установкой, не оставлял никаких шансов даже для зарождения самой мысли о необходимости обоснования КМ. Эйнштейн был последним оппонентом Бора, кто мог себе позволить остаться при своем мнении. По сути, Эйнштейн завещал нам искать настоящее объяснение квантовым феноменам.

 

- г. Эверетт, позвольте мне поделиться  с вами некоторыми соображениями на этот счет.  На мой взгляд, в вашей теории соответственных состояний есть метатеоретические идеи, которые лежат над КМ. И я думаю, что, если бы вы  развивали свои идеи с “чистого листа”, не зная о существовании КМ., то, возможно, пришли бы к ней логическим путем. То есть построили бы ту самую недостающую цепь формальных выводов, которые сделали бы квантовую теорию физически осмысленной.  

Г. Эверетт, в вашей концепции волновая функция берется как основное физическое бытие без априорной интерпретации. На мой взгляд, это не логично. Ваш фундаментальный подход через соотнесенные (запутанные) состояния мог бы стать базой не только для  квантовой механики, но и для всей физики! Вместо этого вы получили лишь интерпретацию квантовой механики.

Ключевой идеей у вас является  введение абстрактной модели наблюдателя, являющегося частью замкнутой системы. Я ее позаимствую у вас. Однако, я не стану описывать поведение этой системы посредством квантовой механики. Я покажу, что квантовая механика сама по необходимости возникает, как единственный возможный способ описать физическую реальность с точки зрения этого вложенного в систему абстрактного наблюдателя. Итак, предположим, что нам пока еще ничего не известно о квантовой механике, и поэтому мы будем основываться на локально-детерминистическом подходе к описанию механики. Я ставлю задачу следущим образом - как будет выглядеть наш искусственный мир (модель замкнутой системы) с точки зрения наблюдателя (субъекта), помещенного в этот конечный мир?  Какие законы “физики” он откроет изнутри системы?

Для того, чтобы ответить на этот вопрос воспользуемся моделью замкнутой системы с конечным числом состояний, понимаемых в алгоритмическом смысле. То есть мы рассматриваем здесь модель мира в виде некоего конечного автомата фон-Неймана или просто алгоритма.

Мы должны иметь в виду, что наблюдатель занимает часть вычислительных ресурсов (ячеек) нашего мирового автомата. Следовательно, он не сможет иметь доступ к каждому фундаментальному состоянию мира, взятому отдельно, ибо часть из них образуют его собственное знание. Эта модельная ситуация подобна Геделевской неполноте [13]. Применительно к нашему случаю, это положение вещей можно назвать физической неполнотой.  Следовательно, природа будет казаться такому наблюдателю более грубой и зернистой, чем есть на самом деле. Такого наблюдателя мы назовем – субъективным наблюдателем.. Все законы природы, которые открываются субъективным наблюдателем, по сути являются субъективными. Физика, которой мы занимаемся, является - субъективной физикой. Гипотетического наблюдателя, который мог бы "охватить взглядом" весь наш мир целиком, и возможно, построить объективную физику, мы назовем – объективным наблюдателем. Однако, объективного наблюдателя может и не существовать вовсе. Лично я не верю, что может существовать бог Вигнера, бог Лапласа или любой другой демонический бог, способный это сделать. Но тогда законы “физики”, полученные субъективным наблюдателем, обретают статус фундаментальных.  Можно строго показать [14],[15],[16] что они будут подобны законам квантовой механики. Таким образом, вполне вероятно, что на фундаментальном уровне мироздания имеет место локально-детерминистическая динамика. (К такому же выводу несколько с иных позиций пришел Г.'т Хофт [17]). Для нас же из-за физической неполноты детерминистические законы трансформируются в квантово-механические. Механизм этой трансформации совершенно очевиден. Рассмотрим, например, движение частицы. С точки зрения объективного наблюдателя ее движение можно описать уравнениями классической механики. Но для гипотетического субъективного наблюдателя некоторые детали этого движения будут скрыты. Это подобно киноленте – если вы на экране видите покоящийся объект, то вы все равно не можете быть уверены в том, что он не совершает некое движение между кадрами (скрытое время), возвращаясь каждый раз в исходную точку. Я предполагаю, что именно таким стробоскопическим эффектом можно объяснить квантовое поведение микрочастиц. На этой основе легко объяснить квантовую нелокальность, редукцию и многие другие, характерные для квантовой физики, свойства материи.

Теперь я хочу показать, как происходит селекция альтернатив при измерении.

Предположим, вы (как субъективный наблюдатель) обнаруживаете систему в нектором состоянии ξ1. Предположим, что в следующий момент времени она может оказаться в ξ2 или ξ3 или же остаться в ξ1.  В каком состоянии она окажется, зависит от скрытой вследствие неполноты динамики. Таким образом, хотя на объективном уровне результат предопределен, для вас он истинно случаен, ибо у вас нет принципиальной возможности узнать исход. Если же речь идет о выборе, то он может быть для вас истинно свободен, по той же причине неполноты, скрывающей мотивацию.  Это понимание имеет весьма интересные следствия для статистической физики. В частности, вскрывается субъективный характер необратимости. Однако, у нас нет возможности останавливаться  на этом вопросе. Для нас здесь интересно то, что этот мой подход, который я называю субъективной физикой во многом снимает парадоксальность Эвереттовской модели многомирия. В моей модели не возникает двусмысленного вопроса о том, почему в результате выбора я оказался на том или ином мировом листе. Я оказался на данном листе закономерно. В следующий раз я окажусь перед тем же самым выбором, но реализую другие возможности (так же закономерно). Правда, этот "следующий раз" может быть отделен от настоящего момента трансфинитным (для субъекта) интервалом времени.   

г. Эверетт, что вы скажете о такой модели мира?

- Печально..., печально, мы вновь возвращаемся к тому кошмарному представлению науки из прошлого, где мы только винтики дьявольской космической машины, ведущие свои короткие бессмысленные жизни...

А где же  разум, переживания, чувства, интуиция, искусство, любовь, наконец?

- Я ожидал этого вопроса, и потому у меня готов на него ответ. Все это, то, что мы называем сферой субъективного или нашей духовностью содержится в отношении к трансцендентному. Мир же, как целое |Я>, для нас, являющихся его  частью |Яi>, трансцендентен. Это только в модели его можно представить парой шестеренок или машиной Тьюринга. Для нас же он трансцендентен по существу. А это означает, что любые наши попытки даже просто сформулировать мысль в отношении оного будут обречены на провал. Мы не можем быть уверены в том, что такое высказывание не будет противоречиво или в том, что оно вообще будет иметь хоть какой-то смысл.

- А где же дарованная нам свобода воли?

- г. Эверетт, в концепции субъективной неполноты, наша субъективная свобода в действительности оказывается волей Бога!  Здесь нет противоречия.

 

- Это ваше "оправдание" я принимаю без комментариев. Однако, сама идея хороша! Мне раньше никак не удавалось понять, каким образом можно совместить идею тотального контроля со свободой воли! Похоже, что вам так же удалось найти обоснование для теории декогеренции  замкнутых систем. Вот, смотрите. Раз "изнутри" мне не доступны все степени свободы системы, то в моей субъективной реальности, которую с полным правом я могу назвать физической, появляются скрытые степени свободы или скрытые параметры. (Вы же не отрицаете, что ваша теория по сути вариант теории скрытых переменных?). Мне нравится, как естественно возникают в этой вашей модели скрытые параметры. Они не вводятся искусственно с целью объяснить КМ. Они возникают сами на основе более фундаментального представления о субъективной неполноте мира. Очевидно, что на этих степенях свободы  может происходить  декогеренция. То есть вам действительно удалось замкнуть теорию! 

- Подведем итог:

a) Причиной декогеренции является неполнота  физической (субъективной) реальности.

b) Декогеренция приводит к процессу индивидуализации <Я>--><Я1>  то есть к со-знанию (знанию себя). Это эквивалентно выбору альтернатив.

с) Из a) и b) следует, что сознание порождается неполнотой. Другими словами, сознание - это категория, присущая любым замкнутым системам. Так, если Вселенная замкнута, то сознание - это присущее ей качество.

 

О чудесах

 

- г. Эверетт, я предлагаю немного пофантазировать. Научная спекуляция ведь не преследуется законом? К тому же от нее только польза. Она будоражит воображение, заставляет думать. Я хочу поговорить с Вами о вещах, которые, несомненно, интересуют и наших с вами читателей – О телепатии, телекинезе, измененных состояниях сознания, всевозможных магических практиках, о молитве,  медитации и.т.д.

Верите ли вы в реальную возможность чего-либо из перечисленного?

- Но разве мы говорим о вере? Она в ваш список не вошла!

- Извините, г Эверетт. Я понимаю, что вы ученый и ваш метод – сомнение, которым вера, конечно, не поверяется. Поэтому спрошу вас по-другому. Видите ли вы почву, на которой могли бы основываться указанные явления?

- Это редукция или сознание, как хотите... Дело не в словах. И хотя мы с вами согласились в том, что не понимаем до конца, что же это такое - сознание, тем не менее, этот предмет нами частично понят,- вы сами это только что показали.  По сути дела, мы с вами строим физику сознания. А основным занятием физики, как известно, является поиск связей между вещами, а не исследование самих вещей в себе! Да, очень кстати пришла эта ассоциация с Кантовскими вещами в себе. Помните, что говорит Кант?  "Априорные условия опыта являются одновременно и условиями существования объектов опыта". А теперь сравните это с тем, что пишет Менский [18]: "В некотором смысле при квантовом измерении реальность творится, а не просто познается". И, действительно, это непосредственно следует из теории декогеренции, если отождествление сознания и редукции, предложенное Менским справедливо. Так что я думаю, что, если эти явления и существуют, то мы, теоретики, легко найдем им объяснение.

- г. Эверетт, допустим, что Кант, Вигнер, Менский и др. правы, предположив, что сознание может влиять на реальность. Объясните пожалуйста, не возникает ли здесь противоречие. Менский рассматривает следующую ситуацию:

 

<Профессор и его ассистент проводят измерения. Взглянув на прибор, они увидят разные показания, потому что руководитель хочет, чтобы показания были высокими, а ассистент стремится к низким > Не дискредитирует ли это саму идею?

 

- Конечно же, нет! И Менский это хорошо объясняет:  После измерения возникнет пара моих (Хе-хе!) Эвереттовских миров, в одном из которых оказался прав профессор, а в другом – ассистент. Анализ показывает, что гипотеза об активном сознании в рамках теории многомирия никогда не приведет к противоречию. Проверьте!

- Значит, и молитва может быть действенна?

- Если быть последовательным в наших рассуждениях, то да. Механизм молитвы вероятно тот же. Допустим, с вашим близким произошло некое нежелательное для вас событие и вы получили о нем некую косвенную или неподтвержденную информацию. Это как раз тот случай, когда молитва может помочь. Дело в том, что описанная ситуация соответствует возникшей макроскопической квантовой суперпозиции, когда "измерение" еще не произошло (Ящик с котом еще не открыт). Здесь самое время помолиться за кота или за вашего сына, который, по дошедшим до вас слухам, провалил экзамен по физике... Пока еще процесс запутывания с вами, приводящий к "усилению" квантовой суперпозиции и, в конечном итоге, к дихотомии альтернатив, не зашел слишком далеко, чтобы стать необратимым, на него можно повлиять молитвой. Тогда процесс начнет "раскручиваться" обратно, ведь он еще не был "закреплен" печатью необратимости. Мы не знаем, как это работает. Каким образом сознание может управлять распределением вероятностей. Однако, есть множество примеров доказывающих, что такой механизм имеет место.

- Значит чудеса бывают, но они субъективны?

- Вы правы. И это проливает новый свет на предмет веры. Это еще раз доказывает бессмысленность каких бы то ни было аргументов в пользу существования или несуществования Бога. Таинства, молитвы, медитативный опыт и т.д. достоверны только в вере. Поэтому вечные споры атеистов и верующих совершенно бессмысленны, ибо каждый из них свидетельствует о своем субъективном опыте. Подчеркну особо, что субъективный мир - это единственная реальность, доступная субъекту, и, в этом смысле, для него он онтологически объективен. Например, мы называем физическую реальность – объективной. Но это неверно по сути. Мир физических феноменов – субъективный мир, как мы видели, возникает в результате  коллапса объективной реальности. Между прочим, наша модель прекрасно согласуется с библейским: " ... по вере вашей да воздастся вам".

- А как вы думаете, сработала ли эта модель у Булгакова, отправившего своего героя – атеиста Берлиоза в небытие?

- Это сложный вопрос. Я предлагаю отложить его анализ до следующей главы, где мы с вами будем обсуждать проблему бессмертия.

- Господин Эверетт, не сочтите за бестактность, но вы сами верите в Бога?

- Я верю в Бога, но я неверующий.  

- Я ожидал такого ответа. То есть вы хотите сказать, что не ощущаете полноты богоприсутствия в себе (может быть, потому, что не обладаете в должной мере активным сознанием), но допускаете такую возможность в отношении, скажем, Петра или Павла?

- Вообще, мне не нравится само слово – верить. В нем заложено какое-то априорное сомнение. Правильнее было бы говорить – знаю. Не думаю, что - Он есть и могу в это поверить, а просто знаю Его...

- Оставим, однако, эту тему теологам.

 

Квантовый суицид и квантовое бессмертие

 

Наряду с приведенным выше примером с профессором и его ассиситентом, существуют более эффектные  иллюстрации субъективного расщепления реальности в мультиверсе. Например, в формулировке, называемой "квантовое бессмертие" делается другой акцент. Поэтому мы выделили обсуждение этой спекулятивной схемы в отдельный параграф. Ее автор Макс Тегмарк [19] утверждает, что экспериментатор, играющий в русскую рулетку при помощи квантового револьвера, будет всегда оставаться жив. В то же время сторонний наблюдатель с высокой вероятностью зарегистрирует смерть экспериментатора. Хотя Макс Тегмарк глубоко убежден в справедливости многомировой интерпретации, он воздерживается от эксперимента. "Со мной-то все будет в порядке",- говорит он в одном интервью,- "а вот моя жена Анжелика останется вдовой".

 

-г. Эверетт, что вы думаете по этому поводу? Можно ли револьвер использовать в качестве транспортного средства в другие миры? Можем ли мы,  используя активное сознание, выбирать маршрут? Да и где купить путеводитель?

- Вы конечно, шутите, хотя я сам говорил о полезности провоцирующих формулировок серьезных проблем..., а тема  весьма серьезна, ведь у нас в руках рабочая модель. У нас впервые появилась надежда анализировать этот феномен на научном языке!

- Тогда г. Эверетт поделитесь с нами, как вы понимаете смерть и бессмертие.

- В обычной и наиболее часто встречающейся формулировке концепции многомирия имеет место известная двойственность, трудная для понимания. С одной стороны, сознание разделено между альтернативами, а с другой, как говорит Хайдеггер, оно всякий раз мое, прокламируя то самое не требующее доказательств, имманентное ощущение самосознания, свойственное каждому из нас.

- Картина становится гораздо выразительнее, если за основу брать ту схему феномена сознания, которую мы обсуждали выше. И, хотя это только вопрос наглядности представления, в этой схеме бессмертие сознания еще более очевидно. Надиндивидуальная реальность <Я>, коей является сама неизмененная квантовая реальность  – это некий инвариант. Существование такого инварианта делокализует феномен сознания. К выводу об инвариантности сознания приходит и Б. Полосухин на основе размышлений, весьма далеких от наших [20].

- В контексте сказанного ясно, что Воланд не смог бы осуществить свою угрозу по отношению к Берлиозу. Жизнь и сознание- это неотъемлемое свойство самой Вселенной,- мира, как целого. Это закон природы, который никто не властен нарушать. Похоже, что мы теперь знаем ответ на Шредингеровский вопрос "Что такое жизнь?". Жизнь непосредственно связана с квантовой природой нашего мира. Как мы знаем, сам Шредингер, будучи одним из основателей квантовой теории, искал ответ совсем не там [21].

-  Так значит, если не вечная жизнь, то вечное сознание нам обеспечено! Но что же все таки ожидает нас после смерти? Б. Полосухин представляет это следующим образом:

 

Лицо A живет, ощущает окружающий мир и себя, наконец, наступают мгновения ощущения ухода, который не воспринимается как уход, и затем возникают какие-то несвязные, не привязанные к месту действия и времени искорки сознания, сначала они очень редкие, затем их становится больше, они начинают освещать то лицо человека, наклонившегося над кроваткой, то высокий забор, через дырку в котором лезет какой-то мальчишка, то сердитый голос, заставляющий есть такую невкусную кашу. Потом полоска света становится шире, и вдруг захочется крикнуть: Мама, это я, мне страшно, спой мне песенку, чтобы скорее уснуть! Наконец, настанет время, когда какой-то дядя спросит: Мальчик (девочка), как тебя зовут? - И звонкий детский голосок ответит: Меня зовут X .

 

- Постойте, что-то подобное я читал у Шопенгауэра! Кажется, он называет это полигенезией [22].

- Совершенно верно. Но Полосухин впервые подошел к этой проблеме с научной точки зрения, построив свою оригинальную модель реинканации (он называет это реоригинацией – неологизмом, созвучным слову реинкарнация)  на основе представления самоприменимых алгоритмов. По сути, он предложил идею построения алгоритмической модели рефлексии. Напомню, что мы основываемся на физическом механизме, основанном на редукции.

- А вот, что пишет по этому поводу ваш Циолковский:

 

Субъективно смерти ни для кого нет. Ни один атом, ни одно существо ей не подвержены < > дело в том, что небытие не отмечается временем и ощущением. Поэтому оно как бы не существует, а существует одна жизнь. Кусочек материи подвержен бесчисленному ряду жизней, хотя и разделенных громадными промежутками времени, но сливающихся субъективно в одну непрерывную и прекрасную жизнь. Обычно говорят: Я умру, вещество мое рассеется по всему земному шару, как же я смогу ожить? Но на это есть такой ответ: До вашего зарождения вещество ваше тоже было рассеяно, однако это не помешало вам родиться.

 

- Я знаю, что многие мыслители обращались к этой теме. И все они приходили к идее бессмертия души. И все же здесь возникает множество вопросов. Можете ли вы мне ответить, как зовут того мальчика (девочку) X из цитаты Полосухина?  Можете ли вы мне ответить, куда попадет тот самый любитель экстремальных путешествий, пустивший себе пулю в лоб?

- Я бы сказал, что все множество возникающих здесь вопросов на самом деле сводится к одному единственному – к проблеме выбора или селекции альтернатив.

- Вы правы. Нам очень не достает теории, которая описывала бы, как происходит выбор (селекция) одной из альтернатив. Однако, я думаю, что мы сегодня уже знаем, как подойти к этому вопросу.

 

Эпилог

 

Гуссерль, исследуя этиологию кризиса европейских наук, пишет, что:

"...относительно природы начинает (правда только в новое время) расшатываться допущение, которое принималось в качестве чего-то само собой разумеющегося, что все естествознание есть-де в конечном счете физика". Физика сама более других естественнонаучных дисциплин преуспела в этом расшатывании. Мы сегодня являемся свидетелями весьма шаткого положения существующей научной парадигмы. Несмотря на это, большая часть ученых ведут себя так, как будто ничего не присходит. Это выглядит примерно так, как если бы незадачливые отдыхающие спокойно разыгрывали шахматную партию, сидя на берегу, в то время как огромная волна цунами уже отбрасывала тень на их шахматную доску... Впрочем, понять это можно. Время формирования кризиса слишком мало - несопоставимо с целыми эпохами формирования парадигмы.

Произошла инверсия - субъективное и объективное как бы поменялись местами. Мы всегда ратовали за объективность естественных наук. Сегодня же мы понимаем, что физика являет нам субъективный взгляд на природу. В то же время, то, что мы относили к сфере духовного, и, прежде всего, сознание, в некотором смысле объективировалось. В результате этой инверсии, которая на самом деле все поставила "на ноги", тенденция релятивизации, начатая теориями относительности и квантовой теорией, еще более углубилась. Наряду с относительностью пространства-времени, возникают новые относительности, в частности – относительность разума.

Как выглядел бы наш Мир со стороны, если бы было кому на него посмотреть? Я думаю, он ужасен! Это механическая машина с марионетками вместо людей. К счастью, мы обречены смотреть на Мир изнутри. И именно этот взгляд дает нам:

 

Увидеть мир в одной песчинке

И Космос весь - в лесной травинке!

Вместить в ладони бесконечность

И в миге мимолетном вечность! ...

( Уильям Блейк)

 

Сегодня мы находимся на пороге открытий, которые полностью изменят наше представление о науке, искусстве, религии. Но пройдет еще немало времени, прежде чем естествоиспытаель, привыкший исследовать явления сами по себе, поймет, что не существует абсолютных независимых от нас истин.

И только тогда, когда мы осознаем ограниченность рационализма и вырвемся из оков объективизма, когда поймем, что реальность не познается, а творится нашим бессмертным духом,- тогда произойдет фазовый переход -  границы между этими сферами человеческой деятельности будут стерты и настанет новая эра, о которой мы сегодня мечтаем.

 

- г. Эверетт, большое спасибо вам за беседу. К сожалению у нас много вопросов осталось "за кадром". Это и вопрос свободы воли, который мы затронули очень поверхностно, и вопрос времени и много других, не менее интригующих тем...

- Тому виной ваша неполнота, которая украшает мир!

- Я рад, г. Эверетт, что после столь насыщенной и трудной беседы у вас еще остались силы шутить. Я хочу поблагодарить вас за ваши идеи, которыми вы поделились со мной и с нашими читателями. Вы также можете воспользоваться моими идеями, если они показались вам интересными. Ведь межмировой плагиат не осуждается и даже приветствуется! Мы называем это божественным озарением или интуицией, как кому больше нравится. А, по сути, это интерференция между параллельными мирами. Близкие идеи из параллельных вселенных мультиверса всегда интерферируют.

Прощайте, господин Эверетт! До скорой интерференции!

 

 

 

* Автор не претендует на достоверность биографических сведений, приведенных в статье.

Частично использованы материалы из Архива Эверетта, хранящегося в Библиотеке им. Нильса Бора в Американском Институте Физики http://www.aip.org/history/

** Неологизм Multiverse то же самое, что многомирие.

 

Благодарности

 

Я благодарю своих дорогих друзей и единомышленников Бориса Полосухина,  Ирину Караханову и Илью Файна за интересные и полезные обсуждения, а так же за конкретную помощь, благодаря которой эта статья стала возможной. Вместе с тем, я должен заметить, что они могут не разделять изложенные в статье философские взгляды, и не несут ответственности за приведенную физическую интерпретацию.

 

 

Литература

 

  1. Everett H. III, Rev. Mod. Phys. 29, 454 (1957).
  2. Термин из теории непрерывных измерений. См., например, Менский М.Б., УФН, 173, 1199 (2003).
  3. Б.В. Бирюков. Жар холодных чисел и пафос бесстрастной логики. Изд. "Знание" М, 1985.
  4. Misner C., Wheeler J., Ann. of Phys., 2, n6, 525 (1957).
  5. Wigner E.P. "Remarks on the mind-body question" London:Heinemann, 1961., p284.
  6. Х.Грин. "Матричная квантовая механика". Изд. Мир., Москва 1968. стр. 45.
  7. Zeh H-D Found. Phys. 1 69 (1970).
  8. Гуссерль Э. "Картезианские размышления" –Мн.: Харвест, М.:АСТ, 2000.-752с.-(Классическая философская мысль).
  9. С.И. Доронин. Мера квантовой запутанности чистых состояний. Квантовая Магия, том 1, вып. 1, стр. 1123-1137, (2004).
  10. Е.М. Иванов. Материя и субъективность.- Саратов, изд СГУ, 1998. http://ivanem.chat.ru/home.htm
  11. Г. Вейль Математическое мышление: Пер. с англ и нем.-М.: Наука., 1989. ч1. Познание и осмысление, стр 49.
  12. Дойч Д., Структура Реальности, РХД, Москва-Ижевск, 2001.
  13. В.А.Успенский. Теорема Геделя о неполноте. Популярные лекции по математике. выпуск 57 .-М.: Наука., 1982.
  14. Каминский А. Моделирование физики в условиях неполноты. Квантовая Магия, том 1, вып. 3, стр. 3126-3149, 2004 http://quantmagic.narod.ru/volumes/VOL132004/p3126.pdf
  15. Каминский А. Скрытое пространство-время в физике. Квантовая Магия, том 2, вып. 1 , стр. 1101-1125 , 2005 http://www.quantmagic.narod.ru/volumes/VOL212005/p1101.pdf
  16. Каминский А. Квант. Маг. 3, 1101 (2006). Анатомия квантовой суперпозиции http://quantmagic.narod.ru/volumes/VOL312006/p1130.pdf
  17. Gerard’t Hooft Determinism beneath quantum mechanics. arXiv: quantph/0212095 v1 16 Dec 2002. На сайте http://quantum3000.narod.ru/ имеется перевод статьи на русский язык.
  18. Менский М.Б., Концепция сознания в контексте квантовой механики. УФН, 175, 413 (2005).
  19. Tegmark M., The Interpretation of Quantum Mechanics: Many Worlds or Many Words? arXiv: quant-ph/9709032v1, 1997.
  20. Б.М. Полосухин, Феномен вечного бытия. Некоторые итоги размышлений по поводу алгоритмической модели сознания. М.: Наука, 1993. –176 с. http://www.polosuhin.narod.ru (электронная версия)
  21. Шредингер Э. Что такое жизнь? С точки зрения физика. Перев. с англ. Изд. 2. М., Атомиздат, 1972
  22. Шопенгауэр А. Мир как воля и представление. гл. XLI. Смерть и ее отношение к неразрушимости нашего существа в себе. Пер. М. И. Левиной М.: Наука, 1993. Эл. версия: http://zhurnal.lib.ru/k/koncheew/glava41.shtml