Эффект «неоднородности пространства» в биологических и физических процессах
Квантовая Магия, том 3, вып. 4, стр. 4141-4155, 2006

Эффект «неоднородности пространства» в биологических и физических процессах

 

 

М.С. Радюк

 

radmes@mail.ru

 

(получена 15 сентября 2006; опубликована 15 октября 2006)

 

Показано что пространство некоторых объектов неоднородно по отношению к скорости протекания различных биологических и физических процессов. В этом плане выделяются края объектов (краевой эффект) и точки их деления в пропорции золотого сечения. «Неоднородность пространства» распространяется также за пределы объектов в форме некого гипотетического фактора, окружающего объекты и способного оказать влияние на ход внешних, по отношению к этим объектам, процессов. Обсуждается возможное объяснение обнаруженного эффекта в рамках феномена квантового гало-специфического состояния материи, возникающего, возможно, вследствие декогеренции систем из квантового состояния в классическое.

 

Идея о существование внутри и вокруг объектов окружающего нас мира некого «излучения» или «поля» неизвестной природы, порождающего необычные и трудные для восприятия и понимания эффекты и явления давно обсуждается в литературе. Характерно, что у разных исследователей этот феномен фигурирует под разными названиями, начиная с «пандемоторной силы» Н.П.Мышкина [1] и заканчивая «торсионными полями» Г.И.Шипова [2]. В разное время подобные явления исследовалось также А.Л.Чижевским (Z-излучение) [3], В.Райхом (О-излучение) [4], Н.А.Козыревым (излучение времени) [5], А.И.Вейником (хрональное излучение) [6], А.А.Деевым (Д-поле), Б.И.Искаковым и А.Ф.Охатриным (лептоны, микролептоное излучение) [7], В.С. Гребенниковым (эффект сотовых и полостных структур, волны материи) [8] и некоторыми другими – всего более двух десятков наименований. Трудно поверить, что в природе существует столько неизвестных сил и полей – скорее исследователи в своей работе сталкиваются с разными сторонами одного и того же явления.

Как неоднократно подчеркивалось в литературе важное значение в регистрации этого явления играет форма объектов. По субъективным и объективным оценкам наибольшая интенсивность «излучения» наблюдается напротив острых или прямых углов предметов [2, 6, 9]. Возможно, что с этим связаны и эффекты формы пирамиды, получившие подтверждение в строгих биологических и физических экспериментах [10].

В данной работе представлены объективные экспериментальные данные, подтверждающие существование гипотетического фактора, связанного с объектами окружающего мира и влияющего на протекание некоторых биологических и физических процессов.

Очень простым и удачным на наш взгляд  «детектором» исследуемого фактора оказался гомогенат зеленых листьев растений [11, 12]. Гомогенат представляет собой   взвесь хлоропластов,  митохондрий,  ядер  и  других клеточных элементов в воде  (но  не  в  буфере!).  Готовится  гомогенат предельно просто: 10 г 6-8-дневных проростков   ячменя   (можно   использовать  также  листья  других растений) растирают   в 100 мл  воды и    фильтруют полученную   смесь через капроновую ткань.    Готовый  гомогенат  внешне представляет собой почти прозрачную жидкость зеленого цвета. После приготовления гомогената начинается  его  постепенное,  в  течение 12-24 ч,  подкисление,  связанное  с  деятельностью молочнокислых бактерий [13].  При достижении определенной величины рН (5,8 ед.) происходит скачкообразная агрегация материала гомогената и его оседание.  Таким образом,  процесс  денатурации  и  оседания  гомогената листьев  можно  рассматривать  как  фазовый переход от гомогенного состояния к агрегированному. Агрегация и   оседание  материала  гомогената  листьев  внешне представляет собой довольно заурядное явление, если оно проходит в пробирке.  Картина резко меняется при переходе от пробирок к длинным узким кюветам,  на дне которых вместо ожидаемого осадка одинаковой  толщины  образуется четко выраженный рельеф в виде бугорков осадка и впадин между ними (рис.1б),  расположение которых относительно  друг друга носит,  как будет показано ниже,  статистически закономерный характер.     Для работы использовали  прозрачные  кюветы  из  органического стекла  размером 26´4´0,8 см.  Кюветы заполняли свежим гомогенатом листьев.  Визуальное  наблюдение  за  процессом  начала  агрегации    частиц  гомогената  показывает, 


 



Рис.1. Возникновение  неоднородностей гомогената листьев в кювете на первом этапе агрегации его частиц (а), снимок осадка гомогената (б). Спектр распределения бугорков осадка по длине кюветы (с). 

 


что  агрегация  его  частиц начинается не одновременно по всей длине кюветы,  а только в некоторых ее местах   в  виде  узких вертикальных полос,  образованных начинающими агрегировать частицами гомогената (рис. 1а). Появление таких локальных неоднородностей указывает, по-видимому, на то, что в  местах  их  возникновения   скорость   подкисления   гомогената несколько  выше,  чем  в  других  местах кюветы.  Это,  с течением времени,  может  привести  к  ощутимым  различиям  в  величине  рН гомогената в различных местах кюветы, что особенно важно к моменту фазового  перехода   гомогената   от   гомогенного   состояния   к агрегированному.  Так  как  денатурация гомогената и агрегация его частиц сопровождается выделением тепла,  то в тех местах,  где начинается агрегация   гомогената,  возникает  слабое  конвективное  движение, которое является непосредственной причиной  формирования  бугорков осадка  на местах расположения неоднородностей.  При этом частицы, находящиеся за пределами локальных неоднородностей,  конвективными движениями  воды  перемещаются  по  направлению  к ее центру,  где агрегируют и оседают (рис.  1б).  Следует отметить,  что  развитие процесса  локальной  агрегации  частиц  гомогената  и формирование бугорков его осадка по-видимому проходит с автоусилением,  так как  выделяемое при  агрегации  тепло  усиливает агрегацию,  что,  в свою очередь, увеличивает выделение тепла  и  т.д.  Свой  вклад  в  автоусиление процесса  агрегации  гомогената возможно вносит конвективное движение воды, которое увеличивает вероятность столкновения частиц гомогената.     По результатам большого числа экспериментов был  построен спектр распределения бугорков осадка гомогената по длине кюветы.  Анализ этого распределения показал,  что его максимумы приходятся на края кюветы и точки деления кюветы в пропорции золотого сечения (рис. 1с). Между основными максимумами выявляются более  мелкие.  Интересно,  что они расположены по тому же принципу, что и основные,  т.е.  соответствуют точкам деления отрезка  между двумя основными максимумами в пропорции золотого сечения, что свидетельствует о фрактальном характере данного явления. 

О том,  что существование локальных неоднородностей гомогената не   связано   с   какими-то  гидродинамическими  или  химическими процессами в гомогенате,  свидетельствуют опыты  с  использованием ряда  одинаковых  сосудов  (объемом  10-15  мл),  расположенных по прямой  вплотную  друг  к  другу   (рис.2а).   Сосуды   заполнялись одинаковым  количеством гомогената.  Поскольку процесс денатурации гомогената,  как   уже   говорилось   выше,   сопровождается   его подкислением,  о  ее скорости судили по величине рН.  В ряду из 11 сосудов (11 - случайное число) по скорости денатурации  гомогената выделялись  сосуды,  расположенные  по  краям,  а  также 5-й  и 7-й сосуды. Отметим, что эти два сосуда соответствуют точкам деления  всего ряда сосудов в пропорции золотого сечения.  Об этом свидетельствует спектр распределения сосудов с гомогенатом по числу случаев,  когда величина рН в них была ниже, чем в соседних (рис. 2б). Это означает,  что и в данном  случае  мы  имеем  дело  с  тем  же явлением,    которое    приводит    к    возникновению   локальных неоднородностей гомогената в кювете.  Кроме того,  это значит, что ряд  отдельных  сосудов  по отношению к данному явлению ведет себя как единое целое.  Довольно неожиданным,  на  первый взгляд,  оказалось поведение гомогената в сосудах, расположенных по окружности. В данном случае сосуды,  в которых денатурация гомогената проходила быстрее, чем в соседних чаще всего соответствовали по своему  положению  вершинам вписанного  в окружность правильного пятиугольника (рис.  3).  Известно, что стороны и диагонали правильного пятиугольника находятся в отношении золотого сечения.  Следовательно, расположение "особых точек" по окружности и в данном случае связано с золотым сечением.     Таким образом, на основании полученных результатов можно прийти к выводу о неоднородности пространства исследуемых  объектов.  В процессе подкисления гомогената в результате деятельности молочно- кислых бактерий и его перехода от гомогенного состояния к  агрегированному происходит "усиление" и выявление неоднородностей пространства кюветы.   Взаиморасположение   неоднородностей   или   "особых точек"   пространства


Рис. 2. Спектр распределения сосудов с гомогенатом по числу случаев, когда скорость оседания гомогената в них была выше, чем в соседних.


Рис. 3. Круговая гистограмма распределения сосудов с гомогенатом по числу случаев, когда скорость оседания гомогената в них была выше, чем в соседних.

определяется геометрией объектов, обладает фрактальным характером и подчиняется принципу золотой пропорции.

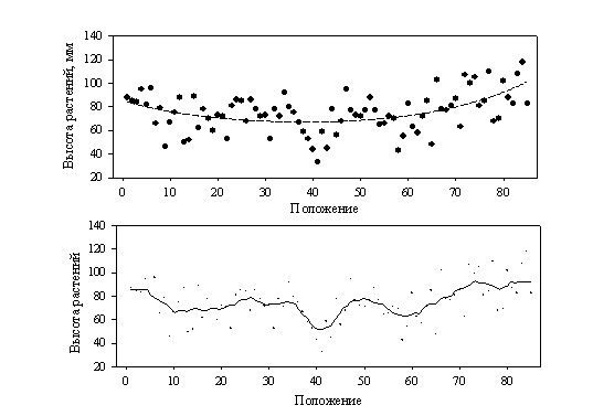
Подобный эффект в форме неодинакового роста растений в зависимости от их положения в пространстве  наблюдается также при выращивании проростков злаковых в линейных  посевах,  длина   которых  много больше ширины (рис. 4),   или  в отдельных


Рис. 4. Зависимость роста проростков ячменя от положения в пространстве посева.  А – линия регрессия  4-го порядка. Б – линия, полученная  методом обратных квадратов.

 


сосудах, расположенных вплотную друг к другу по прямой линии (рис. 5). Растения выращивались в темноте, чтобы исключить их взаимодействие через фитохром (система, регулирующая рост и развитие растений посредством рецепции слабого красного и       .дальне-красного света). Эксперименты с выращиванием растений в отдельных сосудах исключают также взаимодействия растений через корневые системы. Тем не менее, в этих опытах наблюдается четкая зависимость высоты растений от положения в пространстве посева, особенно хорошо выраженная в форме краевого эффекта.


Рис. 5. Зависимость роста проростков ячменя в отдельных бюксах, расположенных по прямой линии от их положения в пространстве. Каждая точка – среднее из 11 повторностей.

 


Скорость зеленения этиолированных   (выращенных в темноте)   растений   также  зависит от положения в пространстве. На рис 6 представлены данные серии экспериментов с накоплением хлорофилла (Хл) этиолированными зеленеющими листьями


Рис. 6. Зависимость накопления Хл в зеленеющих листьях от их положения в пространстве посева. Слева указан возраст растений, справа – время зеленения.

 


ячменя 7-9-дневного возраста при их помещении на свет. Растения выращивались на сетках размером 11×18,5 см. Как следует из рисунка,  растения находящиеся по краям сетки  накапливают за одно и тоже время в среднем на 15% больше Хл, чем растения в середине сетки. Характерно, что данное явление по-видимому накладывается на подробную кинетику накопления Хл (рис.7), придавая ей резко выраженный ступенчатый или волнообразный вид, тогда как непрерывная регистрация процесса зеленения   в одной


Рис. 7. Кинетика накопления Хл 8-дневными  зеленеющими листьями ячменя. Содержание Хл измеряли в листьях последовательно срезаемых от одного края удлиненного посева к другому.

 

 

 



Рис. 8. Непрерывная регистрация накопления Хл  зеленеющими листьями ячменя. Измерение содержания Хл проводили в одной и той же точке каждого из листьев.

 


и той же точке одного и того же листа показывает наличие на кривых накопления Хл только очень коротких ступенек (рис. 8) вплоть до их полного отсутствия. В последнем случае кинетика накопления Хл выглядит в виде ломаной кривой. Отсюда, помимо прочего, следует, что данное явление может вносить значительный вклад в экспериментальный разброс данных и приводить к искаженной трактовке полученных результатов, В качестве примера можно привести наши работы [14, 15].

В очень четкой форме неоднородность пространства появляется в процессе выцветания срезанных зеленых листьев в темноте (рис. 9). 7-8-дневные зеленые  листья


Рис. 9. Содержания Хл  в зеленых листьях ячменя  после 4-х суток темноты в зависимости от их положения в пространстве. Каждая точка – среднее из 7 повторностей.

 


срезали и укладывали  параллельно друг другу в плоскую кювету, так чтобы только нижние концы листьев были в воде, и оставляли в темноте на 4 суток, после чего в них измерялось содержание оставшегося Хл. В каждом из 7 экспериментов было использовано по 34 зеленых листьев с изначально одинаковым содержанием Хл. Из рис 9 видно, что быстрее всего Хл выцветает в крайних листьях и в листьях 13 и 21, соответствующих точкам деления ряда листьев в пропорции золотого сечения. Т.е. налицо та же закономерность, что и в предыдущих опытах. Только в данном случае ускоряются не процессы синтеза и роста, а обратный им процесс распада.

Еще во время экспериментов с гомогенатом зеленых листьев в ряду одинаковых открытых сосудов, расположенных по прямой, мы  заметили, что объем гомогената в сосудах, выделяющихся по скорости его денатурации (крайние сосуды и сосуды, соответствующие деления ряда золотым сечением)  был немного меньше, чем в соседних. Тогда было сделано предположение, что это связано с выделением энергии в процессе жизнедеятельности молочнокислых бактерий (известно, что температура силоса в результате этого процесса даже зимой может подняться до 60 о С). Это чисто умозрительное предположение в данном случае оказалось ошибочным. В экспериментах с чистой дистиллированной водой замеченная закономерность повторилась. Оказалось, что эффект «неоднородности пространства» распространяется не только на биологические процессы, описанные выше, но и на такой простой физический процесс как испарение воды.

В 9 одинаковых бюксов диаметром 30 и высотой 45 мм, расположенных по прямой вплотную друг к другу наливали ровно по 10 мл дистиллированной воды и оставляли их незакрытыми на несколько суток при температуре 24 о С. После этого измеряли объем воды, оставшейся в бюксах. Как это не странно, но в крайних бюксах и в бюксах соответствующих точкам деления ряда в пропорции золотого сечения (4 и 6 сосуды) в среднем объем оставшейся воды был меньше, чем в соседних (рис. 10).


Рис.10. Объем воды в одинаковых сосудах, расположенных по прямой,  через 4 суток после начала опыта. Исходный объем воды во всех сосудах – 10 мл. Каждая точка – среднее из 5 повторностей.

 

 

 



Рис. 11. Спектр распределения сосудов по числу случаев,  когда  объем воды в них через 4 суток после начала опыта был меньше, чем в соседних сосудах.

 


Всего было проделано 45 таких опытов. Бюксы не помечались, и  каждый раз располагались в случайном порядке. На рис. 11 представлен спектр распределения бюксов по числу случаев, когда объем воды в них был ниже, чем в соседних,, подтверждающая выявленную пространственную закономерность, аналогичную для биологических процессов, описанных выше. Подобные опыты    были также    проделаны    для бюксов  с  водой, расположенных по окружности, внешний диаметр которой составлял 18 см. 15 бюксов заполняли одинаковым количеством (10 мл) дистиллированной воды и оставляли   незакрытыми на несколько суток. 

 


Рис. 12. Круговая диаграмма объема воды в сосудах расположенных по кругу через 4 сут после начала опыта. Исходный объем в каждом из сосудов – 10 мл.

 


  После чего измеряли объем оставшейся в них воды. По полученным данным были построены круговые диаграммы и гистограммы распределения сосудов по числу случаев когда объем воды в них был ниже (минимумы) или выше (максимумы),  чем в соседних. На рис 12   представлена   типичная    круговая диаграмма   объема оставшейся в сосудах воды, на которой можно видеть по пять максимумов и минимумов. На рис. 13 представлена подобная диаграмма, построенная по результатам 26 экспериментов. Хорошо видно, что максимумы и минимумы объема воды, оставшейся в бюксах соответствуют вершинам правильного пятиугольника. Гистограммы представленные на рис. 14 а и б  подтверждают полученную закономерность. Напомним,


Рис. 13. Круговая диаграмма объема воды в сосудах расположенных по кругу через 4 сут после начала опыта. Каждая точка – среднее  из 26 повторностей. Исходный объем в каждом из сосудов – 10 мл.

 


что такая же численная  закономерность была получена и для процесса денатурации и оседания гомогената зеленых листьев в сосудах, расположенных по окружности. Ускоренное испарение воды в «особых точках» объектов наводит на мысль, что в этих местах происходит выделение или перераспределение энергии.

Таким образом, на основании полученных данных можно заключит, что пространство исследуемых объектов неоднородно по отношению к скорости протекающих в них различных биологических и физических процессов. У линейных объектов в этом плане прежде всего выделяются края (краевой эффект) и зоны соответствующие делению таких объектов в пропорции золотого сечения. У объектов круглой формы выделяются пять зон соответствующих вершинам правильного пятиугольника, что также является следствием реализации золотого сечения в данном явлении. Золотое сечение, по крайней мере в живой природе, по-видимому является следствием принципа максимальной простоты, реализующегося через присущее ему свойство самоподобия [16]. Полученные результаты позволяют по-иному, с большим доверием взглянуть на утверждение, что тела, геометрические размеры которых имеют соотношения золотого сечения, обладают некими необычными свойствами. Расчеты показывают, что в классической египетской пирамиде, которой присущи пропорции золотого сечения,  в  силу этого обстоятельства возможно сложение «неоднородностей» и их проекций, в результате чего происходит усиление эффекта, присущего  в слабовыраженном виде любым объектам реальности.

Остался главный вопрос – физическая природа наблюдаемой «неоднородности». Следует отметить, что влияние «неоднородностей пространства» по-видимому выходит и за пределы объектов. Об этом говорят как субъективные, так и объективные данные. Безусловно, субъективные методы и полученные с их помощью данные по понятным причинам не могут играть решающей роли в выявлении природы этого явления. Тем не менее, скидывать их со счетов будет не совсем верно.

Поэтому,  начнем с субъективных.


Рис. 14. Круговые гистограммы распределения сосудов с водой, расставленных по кругу по числу случаев, когда объем воды в них был меньше (минимумы) или больше (максимумы), чем в соседних сосудах.

 


Если взять заточенный карандаш и поднести его острие к центру внутренней стороны ладони не касаясь ее, то можно почувствовать как бы легкое прикосновение, Подобные ощущения возникают если провести кончиками пальцев над поверхностью  стола или какого либо другого предмета почти касаясь ее. Это ощущение усиливается над краями или углами предметов (краевой эффект!). Складывается впечатление, что предметы чем-то окружены и интенсивность этого «нечто» увеличивается в области их углов. Подобные субъективные ощущения приводятся в работах В.С. Гребенникова [8] при описании «эффекта полостных и сотовых структур». По свидетельству людей, владеющих биолокацией (Сочеванов Н.Н.), рамка в руках оператора поворачивается над краями любых предметов, что тоже можно рассматривать как свидетельство существования некого «поля» или «излучения» вокруг объектов нашего мира.

Что касается объективных данных в пользу последнего предположения, то их можно получить с помощью уже знакомых нам опытов с гомогенатом зеленых листьев. Следует заметить, что поведение системы сосудов с гомогенатом как единого целого, что отмечалось выше, уже свидетельствует о взаимном влиянии ее составных частей друг на друга. Есть и более конкретное свидетельство о существовании такого взаимодействия. Если поставить две одинаковые длинные узкие кюветы с гомогенатом параллельно друг другу так чтобы их края совпадали, то рельефы образовавшегося на дне кювет осадка будут полностью совпадать, вплоть до мелких деталей (рис. 15). Для наглядности при фотографировании одна из кювет была поставлена на другую. Такое соответствие сохраняется на расстоянии между кюветами до 0,5 см. На большем расстоянии оно начинает нарушаться.

 


Рис. 15. Фотографии рельефа осадка гомогената зеленых листьев в кюветах расположенных параллельно друг другу.

 


Более того, оказалось, что на процессы, происходящие в гомогенате  зеленых листьев  способны влиять практически любые предметы. Если приставить к стенке кюветы со свежим гомогенатом какой-нибудь небольшой предмет (стеклянный цилиндрик, сантиметровую оптическую кювету, ластик, металлический уголок и т.д.), то точно напротив этого предмета на дне кюветы по окончании процесса оседания частиц гомогената образуется четко выраженный бугорок осадка (рис.16). При этом тесный контакт между стенкой кюветы (толщиной 3 мм)  и предметом необязателен, но и не должен быть слишком большим. Предметы следует помещать напротив тех мест кюветы, где произвольное образование бугорков осадка (см. рис.1) маловероятно, например, в середине кюветы или между ее краями и точками деления кюветы золотым сечением. Такие опыты с перечисленными предметами имеют почти 100%-ную воспроизводимость. Особенно сильное влияние на гомогенат оказывают предметы в форме клина, направленного острием на стенку кюветы, в частности, металлическая полоска длиной 12 и шириной 5 см согнутая в форме латинской буквы V.

 

 


Рис.16. Влияние предметов, приставленных к стенке кюветы на формирование бугорков осадка гомогената зеленых листьев на дне кюветы. Слева – клин из дерева, справа – из металлической полоски.

 


Из этих опытов следует, что некий фактор, окружающий предметы, проникает сквозь стенку кюветы и ускоряет процессы, происходящие в гомогенате, приводящие, в конечном счете, к формированию бугорка осадка на дне кюветы. Характерно, что данный эффект зависит от массы предмета или плотности материала из которого он сделан. Наиболее сильное влияние на эти процессы оказывают металлические предметы, а наименьшее – такие же по форме и размерам, но изготовленные из бумаги. Дерево и пластмасса в этом ряду занимают промежуточное положение.

Какова физическая природа этого фактора?

Возможным кандидатом на эту роль является квантовое гало или квантовый ореол (quantum halo). Это явление достаточно давно (с 60-х годов прошлого столеия) изучается квантовой механикой. [17, 18]. В научно-популярной форме оно подробно описано в работе С.И. Доронина [18]. В общем случае – гало «это разбавленная или менее интенсивная компонента, окружающая более плотный или более массивный центральный объект». По более конкретному определению – это «окружение, обволакивающее локальную совокупность частиц с радиусом этой оболочки,  расширенным далеко за пределы классически запрещенной области» [17]. Хотя понятие квантового гало используется для описания микроскопических систем, состоящих из нескольких частиц, не существует принципиального запрета на его существование вокруг макроскопических объектов.

Квантовое гало по-видимому является следствием декогеренции системы из чистого запутанного состояния в смешенное с   различной степень локальности. По мнению В. Журека [19, 20] в результате декогеренции «классически проявленные состояния будут тогда окружены «квантовым гало» от близлежащих относительно более стойких к декогеренции, но все еще отчасти квантовых состояний, чьи необычные квантовые свойства будут возрастать при удалении» (в переводе С.И. Доронина). Наверно можно сказать, что квантовое гало возникает вследствие неполной декогеренции квантовых состояний и является состоянием материи промежуточным между классическим и чисто квантовым. Естественно, что такое состояние будет обладать необычными, с точки зрения классической физики, свойствами.

Существует ряд явлений, которые могли бы найти свое объяснение в рамках данного эффекта и присущих ему закономерностей. Вот некоторые из них.

В литературе неоднократно (в том числе в журнале «Наука и Жизнь», 1987, № 5) описывалась так называемая гидродинамическая юла Коровякова. Юла имеет прозрачное дно и крышку и заполнена жидкостью, в которой  находится большое количество частиц типа чаинок. Если юлу закрутить, а затем затормозить, то чаинки, вращаясь вокруг оси юлы, начнут сбегаться к центру, образуя при этом достаточно четко выраженную фигуру пятиугольника. Оба эти эффекта - перемещение взвешенных частиц к центру вращающейся жидкости при неподвижных  стенках волчка и формирование из них фигуры правильного пятиугольника  - не так легко объяснить. Следует сказать, что  эффект пятиугольника так и  не нашел своего объяснения в рамках традиционной науки. Возможно, он связан с эффектом  «неоднородностью пространства», проявляющего себя в объектах такой формы в виде симметрии 5-го порядка.

Нельзя исключить, что данное явление проявляет себя также  в виде различного рода аномалий и «геопатогенных зон» на поверхности Земли. Время от времени в научно-популярных журналах и в интернете [21] обсуждается гипотеза о икосаэдро-додекаэдрической структуре Земли (ИДСЗ), согласно которой аномалии на поверхности земной коры привязаны к вершинам и ребрам вписанных в шар Земли  воображаемых правильных многогранников: икосаэдра и додекаэдра. Их, по-видимому,  можно рассматривать как объемные эквиваленты правильного пятиугольника (каждая грань додекаэдра, а также фигура образованная пятью, сходящимися в одной вершине гранями икосаэдра, представляют собой правильные пятиугольники).

«Неоднородность пространства» в виде симметрии 5-го порядка возможно накладывает свой отпечаток и на структуру спиральных рукавов некоторых галактик, придавая им угловатую форму, тяготеющую  к форме искаженного (из-за разворачивания  рукавов) пятиугольника [22, 23]. В этом можно, например, убедится, взглянув на качественный снимок галактики М 51 (Водоворот).

И в связи с этим – не является ли «темная материя» [24], заполняющая космическое пространство и тяготеющее к галактикам и их скоплением, совокупным квантовым гало его объектов?

 

Литература

 

  1. Мышкин Н.П. Пандемоторные силы в поле излучающего источника. Журнал Русского физико-химического общества. 1911. Вып. 3. С.149.
  2. Шипов Г.И. Теория физического вакуума. Ч. 6. 1993. М. НТ-Центр. 362 с. http://www.trinitas.ru/rus/doc/0231/008a/02310006.htm
  3. ЧижевскийА.Л. Земное эхо солнечных бурь. .М., Мысль. 1976. 367 с.
  4. Raich W. The discovery of the orgone. Vol. 1. N-Y/ Ferrar, Strans and Giroux. 1969.
  5. Козырев Н.А. Избранные труды. Л. ЛГУ. 1991.
  6. Вейник А.И. Термодинамика реальных процессов. Минск, Наука и техника. 1991. 576 с.
  7. Искаков Б. И., Дмитрук М. Природа и человек (Свет). 1988. N 9. 
  8. Гребенников В.С. Природа и человек (Свет). 1990. N 8. 
  9. С.И.Доронин.  Магия запутанных состояний и современная физика. http://www.n-t.ru/tp/ng/mzs03.htm
  10. Нариманов А.А. Об эффектах формы пирамиды. Биофизика. 2001. Т. 46. Вып. 5. С. 951-957.
  11. Радюк М.С. Химия и жизнь 1988. №7.    http://www.lachugin.ru/science/idsz3_6.htm 
  12. Радюк М.С. Золотая пропорция и неоднородность пространства простейших линейных объектов. Циклы природы и общества. Ставрополь. 1995. http://314159.ru/raduk/raduk1.htm
  13. Шлегель Г. Общая микробиология. 1987. С. 272.
  14. Радюк М.С. Физиология растений. 1998. Т. 45. С. 248-252.
  15. Radyuk M.S., Homan N.M. Photosynthesis Research. 2002. V. 72. P. 117-122.
  16. Радюк М.С.Журнал общей биологии. 2001.Т.62.№ 5. С.403-409.
  17. A.S. Jensen, K. Riisager, and D. V. Fedorov, E. Garrido. Structure and reactions of quantum halos. REVIEWS OF MODERN PHYSICS, VOLUME 76, JANUARY 2004
  18. С.И.Доронин Нагуализм с точки зрения квантовой теории. http://nagualism.ru/nagualtime/n2/gosti-1-doronin.html
  19. Zurek W.H. Decoherence, einselection, and the origins of the classical. arXiv:quant-ph/0105127. V. 3. 19 Jun 2003.
  20. Zurek W.H. Decoherence and the Transition from Quantum to Classical—Revisited.  Los Alamos Science. 2002. Number 27.
  21. Кирилл Лачугин. Земля  - большой кристалл. http://lachugin.ru/work1.php
  22. Радюк М.С. Изломы спиральных рукавов галактики М 51. http://www.astronomy.ru/forum/index.php/topic,14096.msg288210.html
  23. Радюк М.С. Пятиугольные галактики. На грани невозможного. 2004. №14. http://www.gazetangn.narod.ru/archive/ngn0414/main.html
  24. Сажин М. Темная материя. В мире науки. 2003. № 7. http://www.sciam.ru/2003/7/phizical1.shtml